Skip to main content
banner
Cuban American Bar Association Cuban American Bar Association
  • Home
  • CABA
    • Board of Directors
    • Past Presidents
    • History
  • CABA Foundation
    • About
    • Board of Directors
    • Scholarships
    • Foundation Fellows
  • CABA Pro Bono
  • Participate
    • Join CABA
    • Volunteer
    • Committees
    • L.E.A.D. with CABA
    • Contribute
    • Law School Chapters
  • News & Events
    • CABA Gala
    • Upcoming Events
    • CABA In The News
    • CABA Briefs
    • Photo Gallery
  • Become a Member
  • Login

Home › CABA In The News › Coronavirus Emergency Order 23-20 – New Normal – Amendment 1

May 31, 2020 | Announcements

Coronavirus Emergency Order 23-20 – New Normal – Amendment 1

Coronavirus Emergency Order 23-20 – New Normal – Amendment 1 1

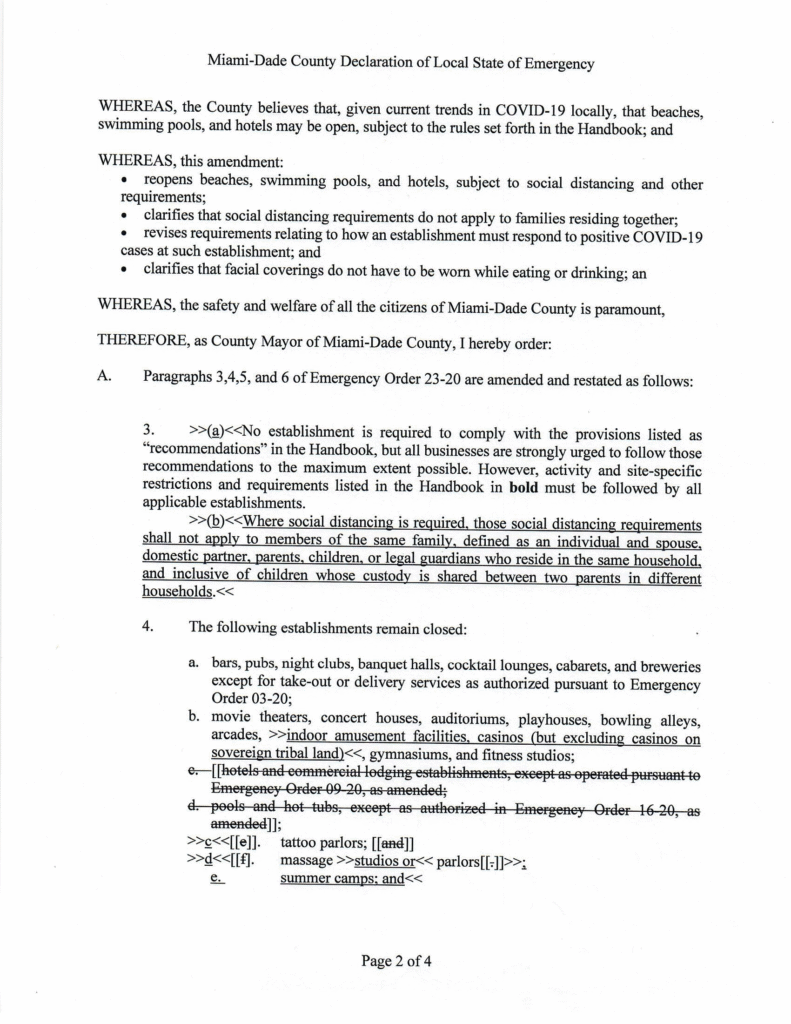
Coronavirus Emergency Order 23-20 – New Normal – Amendment 1 2

Coronavirus Emergency Order 23-20 – New Normal – Amendment 1 3

Coronavirus Emergency Order 23-20 – New Normal – Amendment 1 4

Stay Informed

  • no image

    ‘In My Blood:’ CABA’s Newest President Takes the Reins

    February 10, 2026 / 5:02pm
  • CABA announces 2025 Legend Awards

    CABA announces 2025 Legend Awards

    December 16, 2025 / 3:31pm
  • EL COLEGIO DE ABOGADOS CUBANOAMERICANOS ANUNCIA A LOS GALARDONADOS DE SUS PREMIOS ANUALES

    EL COLEGIO DE ABOGADOS CUBANOAMERICANOS ANUNCIA A LOS GALARDONADOS DE SUS PREMIOS ANUALES

    December 15, 2025 / 3:28pm

Categories

  • Announcements
  • Blog
  • In the News
  • Other
  • Press Releases
Cuban American Bar Association Cuban American Bar Association
InstagramFacebookLinkedInX
Mailing Address:

Cuban American Bar Association

1825 Ponce de Leon Blvd., #399

Coral Gables, Fl. 33134

Media Contacts

General Inquiries

Director of Operations
Phone: 305-857-7229

Become a Member Contact Us
© 2026 All rights reserved.
  • Privacy Policy
  • Site Map
  • Disclaimer
Law Firm Website Design LawFirmSites